Day 60: Two Random Variables A1
Hopefully if you’re reading this you saw our last post, where we gave the question we will solve today. If you haven’t had a chance to try and solve it, please feel free to stop and give it a shot. If you’re ready to see how we solve it, then let’s get started.*
Last post, we gave this little(ish) problem, we said

Then we asked you to find

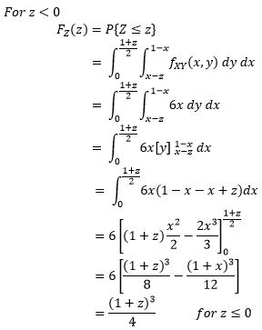
Now first thing to note when solving this problem, there are two different cases, one where 0 ≤ z and one where z < 0. So we need to take that into consideration when solving. Keeping that in mind, let’s solve for the z < 0 case.

Okay, so how did we get here? Well we said that Z ≤ z and we knew our function and the limits of integration so we set those (Step 1). Next (step 2) we simply plug in the function that we were given which was 6x. Since this is a definite integral we can solve this specifically for our case by using taking the integral with respect to x first and plugging in the limits of integration (Step 3). Next we have our new integral after we’ve evaluated those limits (Step 4). Take the integral this time with respect to y which gives us Step 5. Step 6 shows you what the function looks like evaluated at the limits of integration. Lastly we have our solution (Step 7), which we just simplified from step 6.
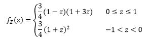
We do this once more for the other case where z > 0, but we can do this a very particular way, notice that
So in this case we can just solve for 1- P{Z>z}. This follows the same logic as we saw for the other case, so I won’t go through it, but in the end we have a solution for both cases. Now we just put it all together and we have

Hopefully you enjoy this new format. Tomorrow will be a new question. I think we will go through a few examples and then we can move on with other things. There is still quite a bit to cover between now and the end of my course, so hopefully I can pass that knowledge on a little bit.
Until next time, don’t stop learning!
*My dear readers, please remember that I make no claim to the accuracy of this information; some of it might be wrong. I’m learning, which is why I’m writing these posts and if you’re reading this then I am assuming you are trying to learn too. My plea to you is this, if you see something that is not correct, or if you want to expand on something, do it. Let’s learn together!!

But enough about us, what about you?