Day 56: One Function of Two Random Variables Example 3

Today we are solving this guy!
Okay quick example, still not super difficult, but one we can work out to a complete solution. We’ve gone over a few examples now, but we’re going to go over a few more for both my benefit and yours. So let’s dive in.*
Let’s look at X and Y again, where

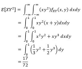
Let’s find

Remember we are solving for the expected value (that is the E[] operator). We’ve kind of glossed over the E[] operator, but we cover it in some detail here. To solve we set it up like so

So step 1, we have our function that corresponds to E[XY squared]. Next, we plug in our function (x+y) and we set our limits for the integration (step 2). We know that the function is valid from 0 to 1 based on our initial problem setup (again step 2). Then we simplify the problem by distributing the xy squared into the (x+y) (step 3). Then we take the integral with respect to x (step 4). Since it is a definite integral we can solve and plug in the x values, notice there is no more x in the 4th step. Next, we take the integral once more with respect to y and that brings us to step 5, where we’ve solved

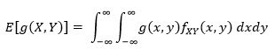
One final thing, remember that for two continuous random variables when we solve for E[], we are solving for

where g(x,y) is just whatever is inside the E[] operator (as we saw in step 1). Okay so tomorrow we will probably go over a short example again and eventually we will move on to some other topics.
UPDATE: Annnnd apparently we already covered this is in example 1… oops sorry, well nothing wrong with revisiting!
Until next time, don’t stop learning!
*My dear readers, please remember that I make no claim to the accuracy of this information; some of it might be wrong. I’m learning, which is why I’m writing these posts and if you’re reading this then I am assuming you are trying to learn too. My plea to you is this, if you see something that is not correct, or if you want to expand on something, do it. Let’s learn together!!

But enough about us, what about you?