Day 62: Two Random Variables A2
Like we did with question 1, this will be the solution to the question we posed in the last post, if you haven’t tried to solve it yet, go give it a shot. If you have and are dying to check your answer, then let’s look at the solution.*
Our latest question said we had X and Y, both random variables with a common parameter λ. We wanted to end up showing somehow that

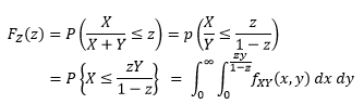
is a uniformly distributed random variable in (0,1). We also gave a hint on how to set the problem up, which may or may not have been helpful. So now that we’ve reviewed the problem, let’s take a look at the solution. First we need to properly set up the problem to solve for the relationship we want to show, that is done like this

By now this setup should look pretty familiar, we need to adjust the limits of the problem based on what we are solving for, so as you see, we say that X/Y needs to be less than or equal to our relationship related to z, then we move the Y over and now we know what the limits of integration are for our X and we can solve!

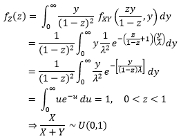
Here we have our normal g(X)f(xy) problem solution (step1), we can pull out everything not related to our y or x variable (Step 2) and we can use that handy relationship that we learned a few posts back to relate our solution in terms of e, this makes it easier to solve (also step 2). Next we simplify the equation some to get it into a form that we are used to dealing with, somewhat anyway (Step 3). The next step might seem a little odd, but we have our u substitution which gives us our solution (step 4). That’s it, we’ve shown that it is a uniform distribution from (0,1).
I’m not quite sure what we will do tomorrow, so stick around and you’ll find out!
Until next time, don’t stop learning!
*My dear readers, please remember that I make no claim to the accuracy of this information; some of it might be wrong. I’m learning, which is why I’m writing these posts and if you’re reading this then I am assuming you are trying to learn too. My plea to you is this, if you see something that is not correct, or if you want to expand on something, do it. Let’s learn together!!

But enough about us, what about you?