Day 50: Intro to Two Random Variables

I was debating about not posting anything today. It’s been a bit rough for me these past few days. However, I’m going to write a little something today and tomorrow to introduce two random variables (so we don’t skip a day). This is going to be a lot like our single random variable examples, but (of course) more complex, let’s take a look at what I mean.*
Let’s take a look at the simple case when dealing with two random variables. In this case, the two random variables are independent. How do we know they are independent? Funny enough, it’s just like a previous example on independence. In this case we say that our two random variables are independent if
P(X = x, Y = y) = P(X = x)P(Y = y) for all x,y
In general, when we are dealing with two random variables that are independent, we can say
P(X∈A, Y∈B) = P(X∈A)P(Y∈B) for all sets of A and B
In short, we are saying that knowing the value of one random variable tells us nothing about the outcome of another random variable. If you reviewed the independent events example, you already saw this and the same behavior applies to our random variables. Pretty handy, right?
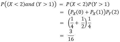
Let’s look at a short example so you can see this in action. Going back to our old coin flip experiment, let’s say we toss a coin twice and X is the number of heads we observe. Then I toss a coin 2 more times and say that Y is the number of heads we observe this time. Now let’s say we want to find P((X<2) and (Y>1)).

So a simple example, but it introduces us to two random variables. Next we will look at what happens when they are not independent. That will lead us into functions of two random variables and hopefully we will be able to do several examples of each; we have a lot to cover basically.
Until next time, don’t stop learning!
*My dear readers, please remember that I make no claim to the accuracy of this information; some of it might be wrong. I’m learning, which is why I’m writing these posts and if you’re reading this then I am assuming you are trying to learn too. My plea to you is this, if you see something that is not correct, or if you want to expand on something, do it. Let’s learn together!!

But enough about us, what about you?