Day 62: Two Random Variables A2
Like we did with question 1, this will be the solution to the question we posed in the last post, if you haven’t tried to solve it yet, go give it a shot. If you have and are dying to check your answer, then let’s look at the solution.*
Day 61: Two Random Variables Q2
For those of you who have been following along, today we are going to post another question and in the next post we will give the solution. This will be another two random variable question and we’ve covered everything you need to solve it in our previous posts. So with that, let’s get to today’s question.*
Day 60: Two Random Variables A1
Hopefully if you’re reading this you saw our last post, where we gave the question we will solve today. If you haven’t had a chance to try and solve it, please feel free to stop and give it a shot. If you’re ready to see how we solve it, then let’s get started.*
Day 59: Two Random Variables Q1
Well now that we’ve had a minute to take a breath, let’s try out something new. In this post I will give the question and in the next post we can work out the answer. For those of you playing at home, this will be a good way to check your knowledge and for me, it will give the the chance to do the same.*
Day 56: One Function of Two Random Variables Example 3

Today we are solving this guy!
Okay quick example, still not super difficult, but one we can work out to a complete solution. We’ve gone over a few examples now, but we’re going to go over a few more for both my benefit and yours. So let’s dive in.*
Day 55: One Function of Two Random Variables Example 2

Don’t worry, the image ties into what we are doing today, I promise!
Well our last post we took a break and talked zombies! While I would love to do a whole month of halloween topics, this year is not the time, maybe next year. In any case today we are going to go over another example of a single function of two random variables. This is going to be slightly more complex than our first example, however it won’t be extremely complex (we’re working towards it). So let’s take a look shall we?*
Day 53: One Function of Two Random Variables Example 1

Hopefully at this point we’ve demystified more than just a few concepts at this point. Today we are going to look at one function of two random variables. Originally I was going to break into a joint CDF example that involved dependent variables, but it turns out my book doesn’t cover that! Oops, guess I should’ve read ahead. In any case let’s talk functions!*
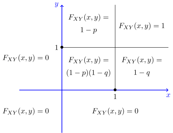
Day 52: Joint Cumulative Distribution Function Example 1

We’re getting into some interesting things today!
Well here we are again, today we are talking functions of two random variables. If you’re looking for the beginning, this isn’t it, but you can read the introduction here. If you’ve kept up, then you’re ready to go over the example we have today, so let’s get started.*
Day 51: Joint Cumulative Distribution Function

As promised, today we are going to talk about two random variables that are not independent. This means that the individual probabilities don’t sum to be equal to the joint probability (like they did yesterday). Like our normal CDF, we can find a CDF for two random variables, but let’s take a look at how this works.*
