Day 49: Functions of One Random Variable Example Part 5

Let’s look at something a bit different today!
If you’ve been following along, we’ve been taking it easy the past few days. I’ve also been going over (relatively) simple examples, so today we’re going to take a more complicated example and work through solving it. I may go over a few more examples to be honest, only because this is important to what comes next, after we nail this down, we’re going to get into functions of two random variables and as you can imagine that’s a little more complicated (a lot more).*
What happens in the lab doesn't have to stay in the lab!
- Click to share on Reddit (Opens in new window) Reddit
- Click to share on X (Opens in new window) X
- Click to share on Facebook (Opens in new window) Facebook
- Click to share on LinkedIn (Opens in new window) LinkedIn
- More
- Click to share on Pinterest (Opens in new window) Pinterest
- Click to share on WhatsApp (Opens in new window) WhatsApp
- Click to share on Tumblr (Opens in new window) Tumblr
- Click to share on Pocket (Opens in new window) Pocket
- Click to share on Telegram (Opens in new window) Telegram
- Click to email a link to a friend (Opens in new window) Email
- Click to print (Opens in new window) Print
October 7, 2019 | Categories: 365 Days of Academia - Year one | Tags: cumulative distribution function, Education, expected value, Function of random variables, Math, mathematics, Moment Generating Functions, moments, probability, probability density function, random variables, statistics | Leave a comment
Day 48: Functions of One Random Variable Example Part 4

A simpler example than yesterday.
Still feeling under the weather, but the show must go on as they say. So today let’s look at another example of how to solve functions of one random variable. Today will be another shorter post, but as usual I’ll try to explain everything step by step and hopefully you’ll see the methodology behind solving these types of problems.*
What happens in the lab doesn't have to stay in the lab!
- Click to share on Reddit (Opens in new window) Reddit
- Click to share on X (Opens in new window) X
- Click to share on Facebook (Opens in new window) Facebook
- Click to share on LinkedIn (Opens in new window) LinkedIn
- More
- Click to share on Pinterest (Opens in new window) Pinterest
- Click to share on WhatsApp (Opens in new window) WhatsApp
- Click to share on Tumblr (Opens in new window) Tumblr
- Click to share on Pocket (Opens in new window) Pocket
- Click to share on Telegram (Opens in new window) Telegram
- Click to email a link to a friend (Opens in new window) Email
- Click to print (Opens in new window) Print
October 6, 2019 | Categories: 365 Days of Academia - Year one | Tags: cumulative distribution function, Education, expected value, Function of random variables, Math, mathematics, Moment Generating Functions, moments, probability, probability density function, random variables, statistics | Leave a comment
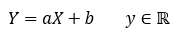
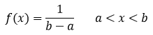
Day 47: Functions of One Random Variable Example Part 3

Let’s solve this guy.
Bad news readers, I’m feeling a bit under the weather. Today we’re going to go over a quick example. It’s not the one I had in mind, but it’s fairly straightforward and should help make some more sense of everything we are covering. When I start feeling better we can get into some of the newer concepts.*
What happens in the lab doesn't have to stay in the lab!
- Click to share on Reddit (Opens in new window) Reddit
- Click to share on X (Opens in new window) X
- Click to share on Facebook (Opens in new window) Facebook
- Click to share on LinkedIn (Opens in new window) LinkedIn
- More
- Click to share on Pinterest (Opens in new window) Pinterest
- Click to share on WhatsApp (Opens in new window) WhatsApp
- Click to share on Tumblr (Opens in new window) Tumblr
- Click to share on Pocket (Opens in new window) Pocket
- Click to share on Telegram (Opens in new window) Telegram
- Click to email a link to a friend (Opens in new window) Email
- Click to print (Opens in new window) Print
October 5, 2019 | Categories: 365 Days of Academia - Year one | Tags: cumulative distribution function, Education, expected value, Function of random variables, Math, mathematics, Moment Generating Functions, moments, probability, probability density function, random variables, statistics | Leave a comment
Day 46: Functions of One Random Variable Example Part 2

Another Joke by xkcd
As promised today we are going to look at another example of how to solve functions with one random variable. If you haven’t you may want to start with our first post on the subject here. For those of you who are caught up, let’s get started.*
What happens in the lab doesn't have to stay in the lab!
- Click to share on Reddit (Opens in new window) Reddit
- Click to share on X (Opens in new window) X
- Click to share on Facebook (Opens in new window) Facebook
- Click to share on LinkedIn (Opens in new window) LinkedIn
- More
- Click to share on Pinterest (Opens in new window) Pinterest
- Click to share on WhatsApp (Opens in new window) WhatsApp
- Click to share on Tumblr (Opens in new window) Tumblr
- Click to share on Pocket (Opens in new window) Pocket
- Click to share on Telegram (Opens in new window) Telegram
- Click to email a link to a friend (Opens in new window) Email
- Click to print (Opens in new window) Print
October 4, 2019 | Categories: 365 Days of Academia - Year one | Tags: cumulative distribution function, Education, expected value, Function of random variables, Math, mathematics, Moment Generating Functions, moments, probability, probability density function, random variables, statistics | Leave a comment
Day 45: Moment Generating Functions

There wasn’t a good visual for what we are talking about today, so how about a joke instead?
Well from the views it looks like my function of a random variable example was a big hit. Hopefully we’re clearing a lot of the confusion up now that we are looking at some examples of how to solve these and we can get a better grasp of how this works. Today we’re going to introduce a new concept, this one is going to be a bit more complex than our last, so you may want to review our last post before we start.*
What happens in the lab doesn't have to stay in the lab!
- Click to share on Reddit (Opens in new window) Reddit
- Click to share on X (Opens in new window) X
- Click to share on Facebook (Opens in new window) Facebook
- Click to share on LinkedIn (Opens in new window) LinkedIn
- More
- Click to share on Pinterest (Opens in new window) Pinterest
- Click to share on WhatsApp (Opens in new window) WhatsApp
- Click to share on Tumblr (Opens in new window) Tumblr
- Click to share on Pocket (Opens in new window) Pocket
- Click to share on Telegram (Opens in new window) Telegram
- Click to email a link to a friend (Opens in new window) Email
- Click to print (Opens in new window) Print
October 3, 2019 | Categories: 365 Days of Academia - Year one | Tags: cumulative distribution function, Education, expected value, Function of random variables, Math, mathematics, Moment Generating Functions, moments, probability, probability density function, random variables, statistics | Leave a comment
